Herunterladen Inhalt Inhalt Diese Seite drucken

Bosch Rexroth IAC-R-Ventil Bedienungshandbuch Seite 150

Mit canopen
Inhaltsverzeichnis
6−22
Bosch Rexroth AG
Reglerfunktion und Optimierung
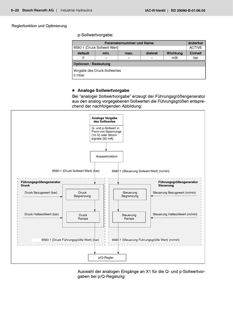
6580:1 (Druck Sollwert Wert) (bar)
Führungsgrößengenerator
Druck
Druck Bezugswert (bar)
Druck Haltesollwert (bar)
6590:1 (Druck Führungsgröße Wert) (bar)
Industrial Hydraulics
p-Sollwertvorgabe:
6580:1 (Druck Sollwert Wert)
default
min.
0
Optionen / Bedeutung
Vorgabe des Druck-Sollwertes
0 mbar
D Analoge Sollwertvorgabe
Bei "analoger Sollwertvorgabe" erzeugt der Führungsgrößengenerator
aus den analog vorgegebenen Sollwerten die Führungsgrößen entspre-
chend der nachfolgenden Abbildung:
Analoge Vorgabe
des Sollwertes
Q- und p-Sollwert in
Form von Spannungs
(10 V) oder Strom-
signale (20 mA)
Anpassfunktion
Druck
Begrenzung
Druck
Rampe
p/Q-Regler
Auswahl der analogen Eingänge an X1 für die Q- und p-Sollwertvor-
gaben bei p/Q-Regelung:
IAC-R-Ventil
Parameternummer und Name
max.
diskret
6480:1 (Steuerung Sollwert Wert) (m/min)
Steuerung
Begrenzung
Steuerung
Rampe
6490:1 (Steuerung Führungsgröße Wert) (m/min)
RD 29090-B-01/06.05
änderbar
ACTIVE
Wichtung
Einheit
milli
bar
Führungsgrößengenerator
Steuerung
Steuerung Bezugswert (m/min)
Steuerung Haltesollwert (m/min)

Quicklinks ausblenden:

Inhaltsverzeichnis
loading

Inhaltsverzeichnis