Herunterladen Inhalt Inhalt Diese Seite drucken

Multitron PS52 Bedienungsanleitung Seite 31

1-/2-achs-cnc-bahnsteuerung
Inhaltsverzeichnis
Zielfenster
Stellgrösse Minimum
zu verändern.
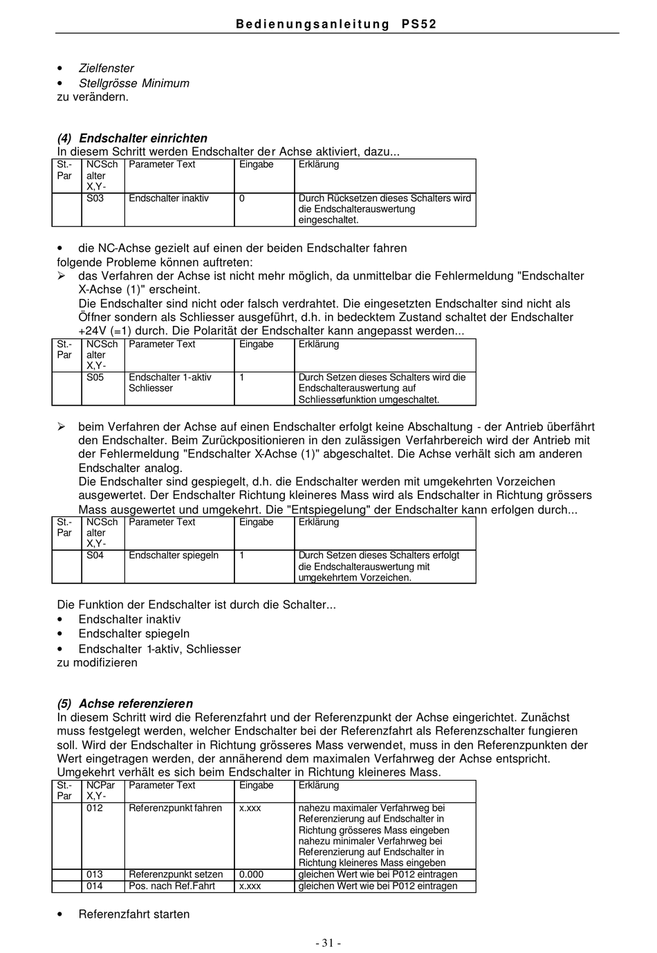
(4) Endschalter einrichten
In diesem Schritt werden Endschalter der Achse aktiviert, dazu...
St.-
NCSch
Parameter Text
Par
alter
X,Y-
S03
Endschalter inaktiv
die NC-Achse gezielt auf einen der beiden Endschalter fahren
folgende Probleme können auftreten:
Ø
das Verfahren der Achse ist nicht mehr möglich, da unmittelbar die Fehlermeldung "Endschalter
X-Achse (1)" erscheint.
Die Endschalter sind nicht oder falsch verdrahtet. Die eingesetzten Endschalter sind nicht als
Öffner sondern als Schliesser ausgeführt, d.h. in bedecktem Zustand schaltet der Endschalter
+24V (=1) durch. Die Polarität der Endschalter kann angepasst werden...
St.-
NCSch
Parameter Text
Par
alter
X,Y-
S05
Endschalter 1-aktiv
Schliesser
Ø
beim Verfahren der Achse auf einen Endschalter erfolgt keine Abschaltung - der Antrieb überfährt
den Endschalter. Beim Zurückpositionieren in den zulässigen Verfahrbereich wird der Antrieb mit
der Fehlermeldung "Endschalter X-Achse (1)" abgeschaltet. Die Achse verhält sich am anderen
Endschalter analog.
Die Endschalter sind gespiegelt, d.h. die Endschalter werden mit umgekehrten Vorzeichen
ausgewertet. Der Endschalter Richtung kleineres Mass wird als Endschalter in Richtung grössers
Mass ausgewertet und umgekehrt. Die "Entspiegelung" der Endschalter kann erfolgen durch...
St.-
NCSch
Parameter Text
Par
alter
X,Y-
S04
Endschalter spiegeln
Die Funktion der Endschalter ist durch die Schalter...
Endschalter inaktiv
Endschalter spiegeln
Endschalter 1-aktiv, Schliesser
zu modifizieren
(5) Achse referenzieren
In diesem Schritt wird die Referenzfahrt und der Referenzpunkt der Achse eingerichtet. Zunächst
muss festgelegt werden, welcher Endschalter bei der Referenzfahrt als Referenzschalter fungieren
soll. Wird der Endschalter in Richtung grösseres Mass verwendet, muss in den Referenzpunkten der
Wert eingetragen werden, der annäherend dem maximalen Verfahrweg der Achse entspricht.
Umgekehrt verhält es sich beim Endschalter in Richtung kleineres Mass.
St.-
NCPar
Parameter Text
Par
X,Y-
012
Referenzpunkt fahren
013
Referenzpunkt setzen
014
Pos. nach Ref.Fahrt
Referenzfahrt starten
B e d i e n u n g s a n l e i t u n g
Eingabe
Erklärung
0
Durch Rücksetzen dieses Schalters wird
die Endschalterauswertung
eingeschaltet.
Eingabe
Erklärung
1
Durch Setzen dieses Schalters wird die
Endschalterauswertung auf
Schliesserfunktion umgeschaltet.
Eingabe
Erklärung
1
Durch Setzen dieses Schalters erfolgt
die Endschalterauswertung mit
umgekehrtem Vorzeichen.
Eingabe
Erklärung
x.xxx
nahezu maximaler Verfahrweg bei
Referenzierung auf Endschalter in
Richtung grösseres Mass eingeben
nahezu minimaler Verfahrweg bei
Referenzierung auf Endschalter in
Richtung kleineres Mass eingeben
0.000
gleichen Wert wie bei P012 eintragen
x.xxx
gleichen Wert wie bei P012 eintragen
- 31 -
P S 5 2
Inhaltsverzeichnis
loading

Inhaltsverzeichnis