Herunterladen Inhalt Inhalt Diese Seite drucken

Rittal LCP Rack CW Montage-, Installations- Und Bedienungsanleitung Seite 101

Vorschau ausblenden Andere Handbücher für LCP Rack CW:
Inhaltsverzeichnis
16 Weitergehende Technische Informationen
3,75
3,50
3,25
3,00
2,75
2,50
2,25
2,00
1,75
1,50
1,25
1,00
0,75
0,50
0,25
0,00
0
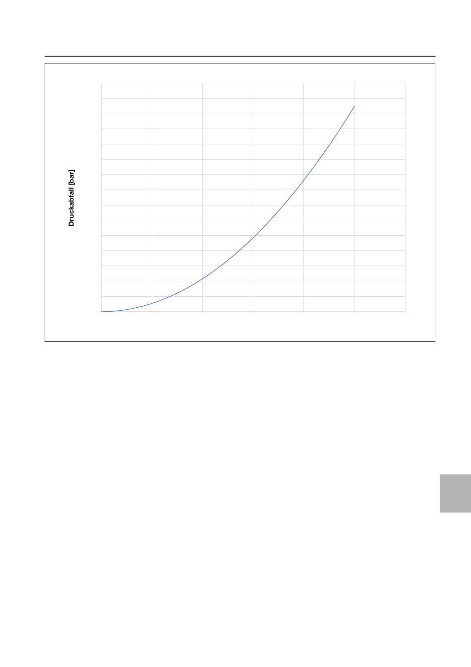
Abb. 134: Druckverlust im LCP CWG
Rittal Liquid Cooling Package
Gerätedruckverlust LCP Rack/Inline CWG
20
40
Volumenstrom Wasser/Antifrogen-N 34 % [l/min]
60
80
100
120
101
16
Inhaltsverzeichnis
loading

Inhaltsverzeichnis