Herunterladen Inhalt Inhalt Diese Seite drucken

Avaya DEFINITY Bedienungsanleitung Seite 144

Vorschau ausblenden Andere Handbücher für DEFINITY:
Inhaltsverzeichnis
DEFINITY ECS Release 9
Installation, Aufrüstungen und Erweiterungen für modulare
2
Installationsabschluss und Pinbelegung der Kabel
Anschluss- und Kabeldiagramme (Pinbelegungstabellen)
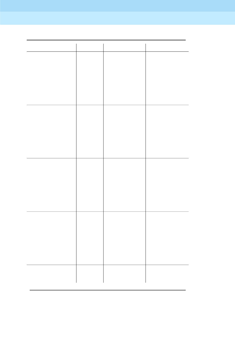
Tabelle 2-6. Bezeichnung und Farbe der Leitungen — Fortsetzung
Cross-Connect Pin
Farbe
25
BK-G
26
G-BK
27
BK-BR
28
BR-BK
29
BK-SL
30
SL-BK
31
Y-BL
32
BL-Y
33
Y-O
34
O-Y
35
Y-G
36
G-Y
37
Y-BR
38
BR-Y
39
Y-SL
40
SL-Y
41
V-BL
42
BL-V
43
V-O
44
O-V
45
V-G
46
G-V
47
V-BR
48
BR-V
49
V-SL
50
SL-V
Amphenol-Pin
Backplane-Pin
38
13
39
14
40
15
41
16
42
17
43
18
44
19
45
20
46
21
47
22
48
23
49
24
50
25
Fortsetzung nächste Seite
Ausgabe 2
November 2000
2-10
302
202
303
203
304
204
305
205
306
206
307
207
308
208
309
209
310
210
311
211
312
212
313
213
300
200
Inhaltsverzeichnis
loading

Inhaltsverzeichnis