Herunterladen Inhalt Inhalt Diese Seite drucken

Zipro Pacto Bedienungsanleitung Seite 49

Vorschau ausblenden Andere Handbücher für Pacto:
Inhaltsverzeichnis
Verfügbare Sprachen
  • DE

Verfügbare Sprachen

  • DEUTSCH, seite 21
LT
Programoje yra 20 parametrų dalių. Kartokite čia nurodytus
veiksmus tol, kol nustatysite visus parametrus.
Programos bus saugomos kompiuterio atmintyje iki kito
parametrų koregavimo.
Elektros maitinimo avarijos metu duomenys nebus ištrinti.
VARTOTOJO PROGRAMOS ĮJUNGIMAS
Budėjimo režime nuspauskite mygtuką PROGRAM (PROG) ir
išsirinkite vieną vartotojo programą.
Išsirinkus programą, langelyje TIME pasirodys „30:00" vertė.
Mygtukais SPEED +/- nustatykite treniruotės laiką. Nustatytas
treniruotės laikas bus padalintas į 20 lygių etapų.
Norėdami įjungti programą, nuspauskite mygtuką START.
ATGALINIO SKAIČIAVIMO REŽIMAS
Pasirinkite vieną iš 3 skaičiavimo režimų, nuspausdami mygtuką
PROGRAM.
Norimą vertę nustatykite mygtukais SPEED +/-.
Bėgimo takelis ir skaičiavimo režimas įsijungs, nuspaudus
mygtuką START.
PARAMETRAI, SKAIČIUOJAMI ATGALINIU BŪDU:
LAIKAS: pradinė vertė, nuo kurios pradedamas skaičiavimas
atgal - 30 min. Kompiuteris leidžia nustatyti laiką 5-99 minučių
(kas 1 minutę) diapazone.
KALORIJOS: pradinė vertė, nuo kurios pradedamas
skaičiavimas atgal - 50 kcal. Kompiuteris leidžia nustatyti
kalorijas 20-990 kcal (kas 10 kcal) diapazone.
ATSTUMAS: pradinė vertė, nuo kurios pradedamas
skaičiavimas atgal - 1 km. Kompiuteris leidžia nustatyti
atstumą 1,0-99,0 km (kas 1 km) diapazone.
„BODY FAT TEST" PROGRAMA (RIEBALŲ LYGIO MATAVIMAS)
Spauskite mygtuką PROGRAM (PROG) tol, kol ekrane pamatysite
informaciją FAT.
Mygtuku MODE įveskite parametrus:
F1 - lytį (gender) – 01 vyras / 02 moteris
F2 – amžių (age) –10-99 vertė
F3 - ūgį (height) – 100-220 vertė
F4 – svorį (weight) – 20-130 vertė
Mygtukais SPEED +/- nustatykite parametrų vertes.
Pasirinkus parametrus, ekrane pamatysite F5. Padėkite abu delnus
ant pulso jutiklių, po 5-6 sekundžių ekrane pamatysite informaciją
FAT. FAT programa skaičiuoja ūgio ir svorio santykį, o ne kūno
proporcijas.
Tinkamas rezultatas turi būti 20-25 verčių diapazone. Žemesnė nei 20
vertė reiškia per mažą svorį, 26-29 vertė rodo antsvorį, 29 viršijanti
vertė informuoja apie nutukimą. DĖMESIO! Gautų rezultatų negalima
naudoti gydymo tikslams.
„BLUETOOTH" JUNGTIS SU MOBILIA PROGRAMA
Kompiuteris veikia kartu „FitShow" programa.
Pradėkite treniruotę ir mėgaukitės naujomis galimybėmis.
Atsisiųskite programą.
Mobiliajame įrenginyje įjunkite „Bluetooth".
Įjunkite programą ir joje išsirinkite „ZIPRO" įrenginį, kurį norite
prijungti.
Kuomet „ZIPRO" įrenginys prisijungs prie programos,
kompiuteris ir jo ekranas išsijungs.
Nuo šio momento „ZIPRO" įrenginį valdysite mobiliuoju
įrenginiu.
TRENIRUOTĖS IR PRATIMŲ ETAPAI
Šis įrenginys duos Jums daug naudos. Visų pirma, pagerės Jūsų fizinė
būklė, sustiprės raumenys, o jeigu kartu laikysitės atitinkamos
mitybos, sudeginsite nereikalingą riebalinį sluoksnį.
1. APŠILIMAS
Šis pratimų etapas pagerina kraujo apytaką visame kūne ir paruošia
raumenis didesniam krūviui. Tokiu būdu sumažėja mėšlungio ir
49
sužeidimų pavojus. Patartina atlikti kelis toliau nurodytus tempimo
pratimus. Jei jaučiate skausmą, baikite sportuoti arba sumažinkite
judesio diapazoną.
VIDINĖS ŠLAUNŲ PUSĖS RAUMENŲ TEMPIMAS
Atsisėskite ant lygaus paviršiaus. Kojos sulenktos, keliai nukreipti į
išorę. Sujunkite pėdas ir pritraukite jas kiek galite arčiau savęs.
Švelniai spauskite kelius pagrindo kryptimi ir išbūkite tokioje padėtyje
15 sekundžių.
ŠLAUNŲ RAUMENŲ TEMPIMAS
Atsisėskite ant lygaus paviršiaus. Ištieskite dešinę koją, o kairę pėdą
pritraukite prie dešiniosios šlaunies. Dešinę ranką ištieskite dešinės
pėdos pirštų link kaip galima toliau. Išbūkite tokioje padėtyje 15
sekundžių. Pakartokite šiuos pratimus kaire koja.
POSŪKIAI GALVA
Laikykite galvą tiesiai ir žiūrėkite prieš save. Nejudindami pečių,
pasukite galvą į dešinę ir grįžkite į pradinę padėtį. Pasukite į kairę ir
grįžkite į pradinę padėtį.
RANKŲ KĖLIMAS
Kairę ranką pakelkite kiek galite aukščiau ir išbūkite tokioje padėtyje
kelias sekundes. Pakartokite pratimą dešine ranka.
ACHILO SAUSGYSLĖS TEMPIMAS
Atsistokite veidu į sieną. Kairę koją ištraukite į priekį ir šiek tiek
sulenkite per kelį. Dešinę koją laikykite ištiestą atgal, pėdą laikykite
priglaustą ant grindų. Abi pėdas laikydami priglaustas prie grindų,
spauskite klubus sienos link. Išlaikykite tokioje padėtyje 30 sekundžių.
Pakartokite pratimą su ištraukta į priekį dešine koja. Stebėkite, kad
pratimo metu pečiai nebūtų palenkti į priekį.
PASILENKIMAI
Atsistokite. Kojos suglaustos. Pasilenkite į priekį, stengdamiesi krūtinę
kuo arčiau priartinti prie kelių. Išbūkite tokioje padėtyje 15 sekundžių.
Nelenkite kelių.
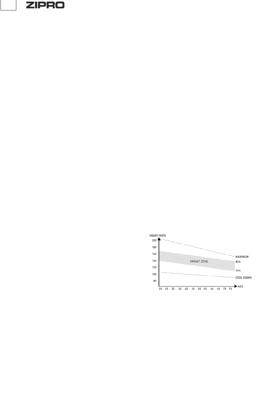
2. TIKRASIS TRENIRUOTĖS ETAPAS
Tai pagrindinė treniruotės dalis. Pasirinkite savo tempą taip, kad būtų
pasiektas Jūsų amžių atitinkantis pulsas (žr. toliau pateiktą
iliustraciją).
3. ATSIPALAIDAVIMO ETAPAS
Šis etapas leidžia sulėtinti kraujo apytaką ir atpalaiduoti raumenis.
Kartojami apšilimo pratimai.
Nepamirškite, kad raumenys negali būti per daug įtempti.
GALIMI GEDIMAI IR JŲ TAISYMAS
DĖMESIO! Garantija negalios, jeigu įrenginio korpusas bus atidarytas
be išankstinės konsultacijos su gamintojo servisu. Jeigu įtariate, kad
atsirado gedimas, kurio taisymui būtina atidaryti įrenginio korpusą,
kreipkitės į gamintojo servisą.
Inhaltsverzeichnis
loading

Inhaltsverzeichnis