Herunterladen Inhalt Inhalt Diese Seite drucken

Dépannage De La Libération Du Corps Principal - Cook Medical Zenith Alpha Gebrauchsanweisung

Endovaskuläre abdomenprothese
Vorschau ausblenden Andere Handbücher für Zenith Alpha:
Inhaltsverzeichnis
Verfügbare Sprachen
  • DE

Verfügbare Sprachen

  • DEUTSCH, seite 56
12 DÉPANNAGE DE LA LIBÉRATION DU CORPS PRINCIPAL
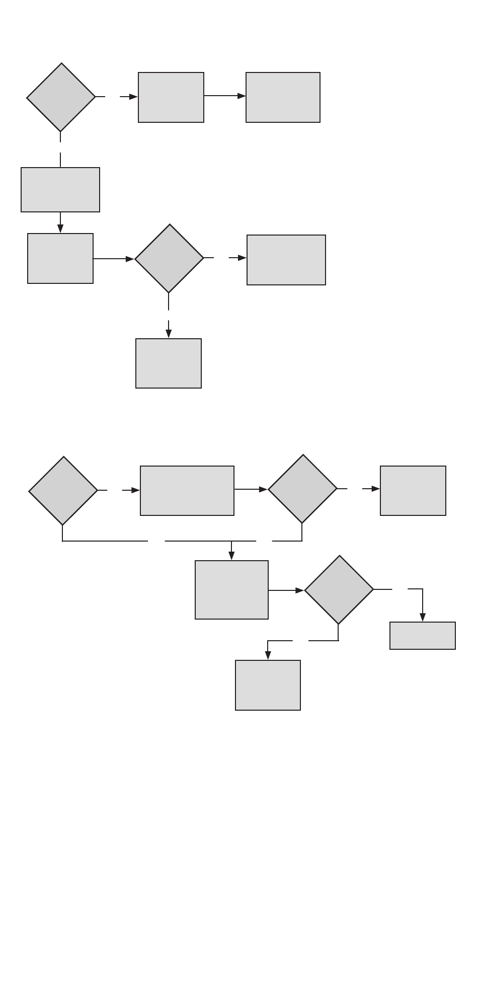
Organigramme de dépannage 1 : Le stent non-couvert n'est pas largué et la poignée rotative ne tourne pas
REMARQUE : L'assistance technique d'un spécialiste produit Cook peut être obtenue en contactant un représentant local Cook .
Le verrou de
sécurité noir est-
il verrouillé ?
Non
Dégainer complètement
le moignon homolatéral
(Fig . 44) (section 12,
étape 3 de la procédure)
Déverrouiller le
verrou de sécurité
gris (Fig . 45)
(section 12, étape 3
de la procédure)
Organigramme de dépannage 2 : Le stent non-couvert proximal est largué et le verrou de sécurité gris ne se
déverrouille pas
Est-il possible
de tourner la
poignée rotative
bleue ?
1 . S'assurer que le verrou de sécurité noir est engagé en position
déverrouillée .
2 . Continuer à tourner la poignée rotative bleue .
3 . En cas de difficulté lors du largage du stent non-couvert proximal et
de la rotation de la poignée rotative bleue, dégainer complètement le
moignon homolatéral (Fig . 44), puis déverrouiller le verrou de sécurité
gris et l'engager en position déverrouillée . (Fig . 45) Continuer à tourner
la poignée rotative bleue jusqu'à ce qu'elle bute (environ deux tours
complets), ce qui devrait larguer le stent non-couvert proximal et le
moignon homolatéral distal . Terminer la procédure . En cas de difficultés
persistantes, suivre les étapes de dépannage de la libération du corps
principal ci-dessous pour démonter la poignée rotative .
4 . Placer des pinces chirurgicales dans les encoches des clips de l'extrémité
arrière et retirer les deux clips en les faisant glisser . (Fig . 46 et 47)
5 . Retirer le capuchon arrière de la poignée rotative bleue . (Fig . 48)
6 . Tout en maintenant le repose-doigt noir, retirer la poignée rotative
bleue en la faisant glisser tout droit vers l'arrière . Si la poignée bute
lorsqu'elle est tirée vers l'arrière, s'assurer que le verrou de sécurité gris
est déverrouillé et engagé en position déverrouillée (rotation de 180°),
puis continuer à tirer la poignée tout droit vers l'arrière . (Fig . 49) S'il est
toujours impossible de tirer la poignée vers l'arrière, la tourner dans le
sens opposé des flèches (antihoraire) jusqu'à ce qu'elle soit retirée .
(Fig . 50 et 51)
REMARQUE : Une tension sera ressentie pendant le retrait de la poignée
rotative .
Déverrouiller
le verrou de
Oui
sécurité noir
(section 10 . 1 . 4 )
Est-il possible
de tourner la
poignée rotative
bleue ?
Non
Procéder au
dépannage de la
libération du corps
principal (section
12, étape 4 de la
procédure)
Continuer à tourner la poignée
rotative bleue (deux tours
complets au maximum),
Oui
jusqu'à ce que les verrous de
sécurité s'alignent et que la
poignée bute (section 10 . 1 . 4 )
Non
Continuer à tourner
la poignée rotative
bleue et terminer la
procédure (section
10 . 1 . 4 )
Continuer à tourner la
poignée rotative bleue
Oui
et terminer la procédure
(section 10 . 1 . 4 )
Le verrou de
sécurité gris peut-il
être déverrouillé ?
Non
Utiliser de la gaze
ou une pince pour
déverrouiller de force
le verrou de sécurité
gris (section 10 . 1 . 7 )
(section 12, étape 3 de
la procédure)
Procéder au
dépannage de la
libération du corps
principal (section
12, étape 4 de la
procédure)
7 . À l'aide d'une pince, saisir tous les fils et les tirer jusqu'au largage de
l'endoprothèse . (Fig . 52 et 53)
98
Oui
Est-il possible
de tourner la
poignée rotative
bleue ?
Non
Déverrouiller le
verrou de sécurité
gris et terminer la
procédure (Fig . 44)
Oui
Terminer la
procédure
Inhaltsverzeichnis
loading

Inhaltsverzeichnis