Herunterladen Inhalt Inhalt Diese Seite drucken

Minebea Intec Signum 3 Ex Betriebsanleitung Seite 68

Komplettwaagen für den explosionsgefährdeten bereich
Inhaltsverzeichnis
Applikation Summieren
s
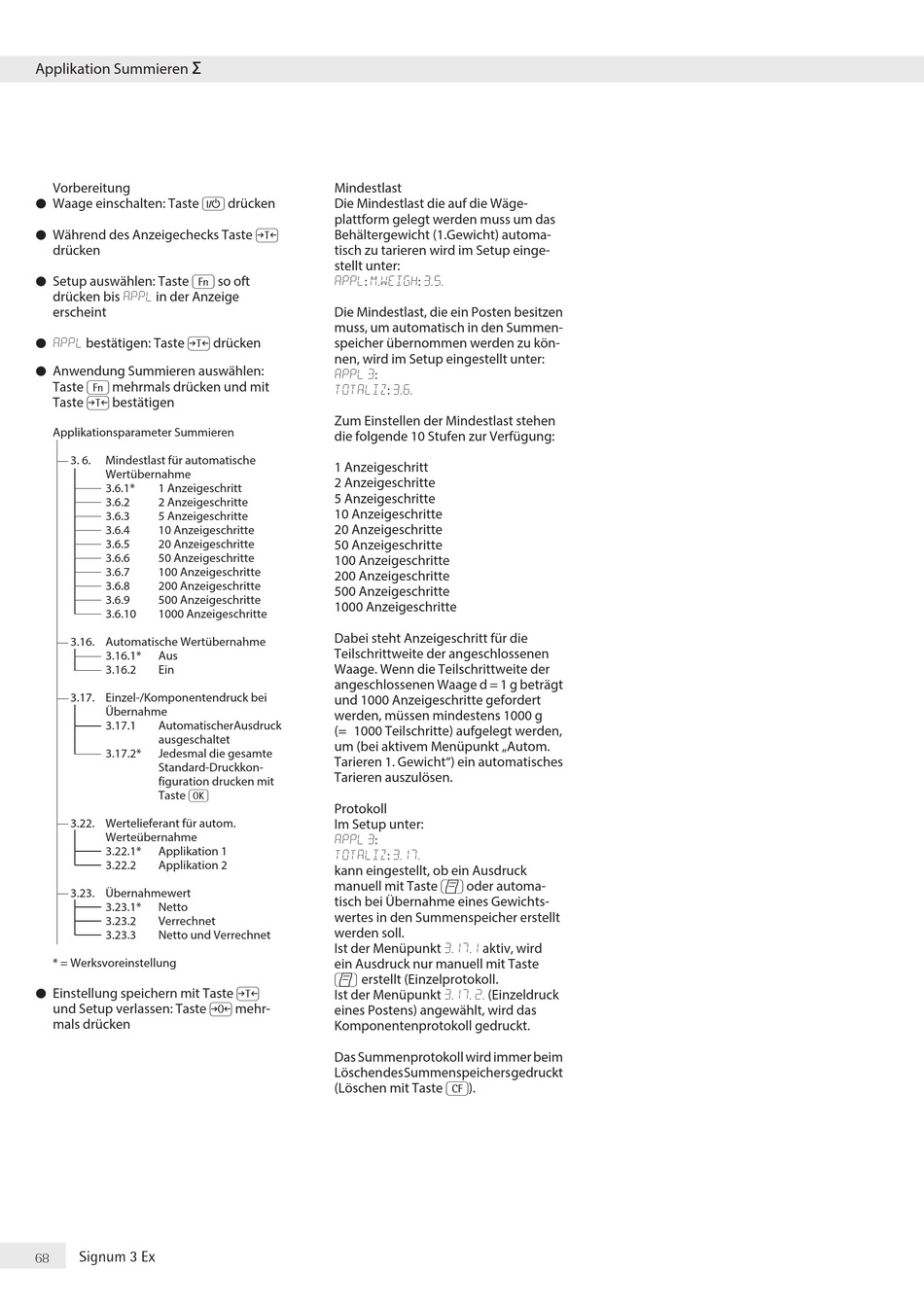
Vorbereitung
§ Waage einschalten: Taste e drücken
§ Während des Anzeigechecks Taste )
drücken
§ Setup auswählen: Taste k so oft
drücken bis appl in der Anzeige
erscheint
§ appl bestätigen: Taste ) drücken
§ Anwendung Summieren auswählen:
Taste k mehrmals drücken und mit
Taste ) bestätigen
Applikationsparameter Summieren
3� 6�
Mindestlast für automatische
Wertübernahme
3�6�1*
1 Anzeigeschritt
3�6�2
2 Anzeigeschritte
3�6�3
5 Anzeigeschritte
3�6�4
10 Anzeigeschritte
3�6�5
20 Anzeigeschritte
3�6�6
50 Anzeigeschritte
3�6�7
100 Anzeigeschritte
3�6�8
200 Anzeigeschritte
3�6�9
500 Anzeigeschritte
3�6�10
1000 Anzeigeschritte
3�16� Automatische Wertübernahme
3�16�1*
Aus
3�16�2
Ein
3�17� Einzel-/Komponentendruck bei
Übernahme
3�17�1
Automatischer Ausdruck
ausgeschaltet
3�17�2*
Jedesmal die gesamte
Standard-Druckkon-
figuration drucken mit
Taste O
3�22� Wertelieferant für autom�
Werteübernahme
3�22�1*
Applikation 1
3�22�2
Applikation 2
3�23� Übernahmewert
3�23�1*
Netto
3�23�2
Verrechnet
3�23�3
Netto und Verrechnet
* = Werksvoreinstellung
§ Einstellung speichern mit Taste )
und Setup verlassen: Taste ( mehr-
mals drücken
Signum 3 Ex
68
Mindestlast
Die Mindestlast die auf die Wäge-
plattform gelegt werden muss um das
Behältergewicht (1�Gewicht) automa-
tisch zu tarieren wird im Setup einge-
stellt unter:
Appl
:
m.weigh
:
3.5.
Die Mindestlast, die ein Posten besitzen
muss, um automatisch in den Summen-
speicher übernommen werden zu kön-
nen, wird im Setup eingestellt unter:
:
appl 3
:
totaliz
3.6.
Zum Einstellen der Mindestlast stehen
die folgende 10 Stufen zur Verfügung:
1 Anzeigeschritt
2 Anzeigeschritte
5 Anzeigeschritte
10 Anzeigeschritte
20 Anzeigeschritte
50 Anzeigeschritte
100 Anzeigeschritte
200 Anzeigeschritte
500 Anzeigeschritte
1000 Anzeigeschritte
Dabei steht Anzeigeschritt für die
Teilschrittweite der angeschlossenen
Waage� Wenn die Teilschrittweite der
angeschlossenen Waage d = 1 g beträgt
und 1000 Anzeigeschritte gefordert
werden, müssen mindestens 1000 g
(= 1000 Teilschritte) aufgelegt werden,
um (bei aktivem Menüpunkt „Autom�
Tarieren 1� Gewicht") ein automatisches
Tarieren auszulösen�
Protokoll
Im Setup unter:
:
appl 3
:
totaliz
3.17.
kann eingestellt, ob ein Ausdruck
manuell mit Taste p oder automa-
tisch bei Übernahme eines Gewichts-
wertes in den Summenspeicher erstellt
werden soll�
Ist der Menüpunkt 3.17.1 aktiv, wird
ein Ausdruck nur manuell mit Taste
p erstellt (Einzelprotokoll�
Ist der Menüpunkt 3.17. 2. (Einzeldruck
eines Postens) angewählt, wird das
Komponentenprotokoll gedruckt�
Das Summenprotokoll wird immer beim
Löschen des Summenspeichers gedruckt
(Löschen mit Taste c)�

Quicklinks ausblenden:

Inhaltsverzeichnis
loading

Diese Anleitung auch für:

SiwxsbbpSiwxsbbsSiwxsdcpSiwxsdcs

Inhaltsverzeichnis