Herunterladen Inhalt Inhalt Diese Seite drucken

Smart Abrufen; Einstellungen Vornehmen; Datenzugang Festlegen - Alpha Innotec Luxtronik Betriebsanleitung

Heizungs- und wärmepumpenregler
Vorschau ausblenden Andere Handbücher für Luxtronik:
Inhaltsverzeichnis

Smart abrufen

HINWEIS
Menüeintrag wird nur bei aktiviertem Kundendienst-Zu-
gang angezeigt und wenn:
● „Raumstation" auf „Smart" eingestellt ist
● „Smart"-Regelungen eingestellt sind.
 Seite 22, „Systemeinstellungen festlegen", „Raumstation"
 Seite 28, „Smart"
Solltemp Hzk
Solltemperatur Heizkreis
Solltemp. MK1
Solltemperatur Mischkreis 1
Warmwasser-Soll
Solltemperatur
Trinkwarmwasserbereitung
Sollwert Max
höchster Anforderungs-Sollwert aus
dem Smart-System
FBH Total HK
Anzahl der Fußbodenheizungskreise,
die dem Heizkreis zugeordnet sind
FBH Offen HK
Anzahl der offenen Fußbodenhei-
zungskreise, die dem Heizkreis zuge-
ordnet sind
Anz. Rad. HK
Anzahl der Radiatorenantriebe, die
dem Heizkreis zugeordnet sind
Raumtemp. Ist HK
aktuelle Raumtemperatur des
ungünstigsten Raums im Heizkreis
Raumtemp. Soll HK
Solltemperatur des ungünstigsten
Raums im Heizkreis
FBH Total MK1
Anzahl der Fußbodenheizungskreise,
die dem Mischkreis 1 zugeordnet sind
FBH Offen MK1
Anzahl der offenen Fußbodenhei-
zungskreise, die dem Mischkreis 1 zu-
geordnet sind
Anz. Rad. MK1
Anzahl der Radiatorenantriebe, die
dem Mischkreis 1 zugeordnet sind
Raumtemp. Ist MK1
aktuelle Raumtemperatur des
ungünstigsten Raums im Mischkreis 1
Raumtemp. Soll MK1
Solltemperatur des ungünstigsten
Raums im Mischkreis 1
Technische Änderungen vorbehalten | 83055300eDE – Originalbetriebsanleitung (2.0) | ait-deutschland GmbH

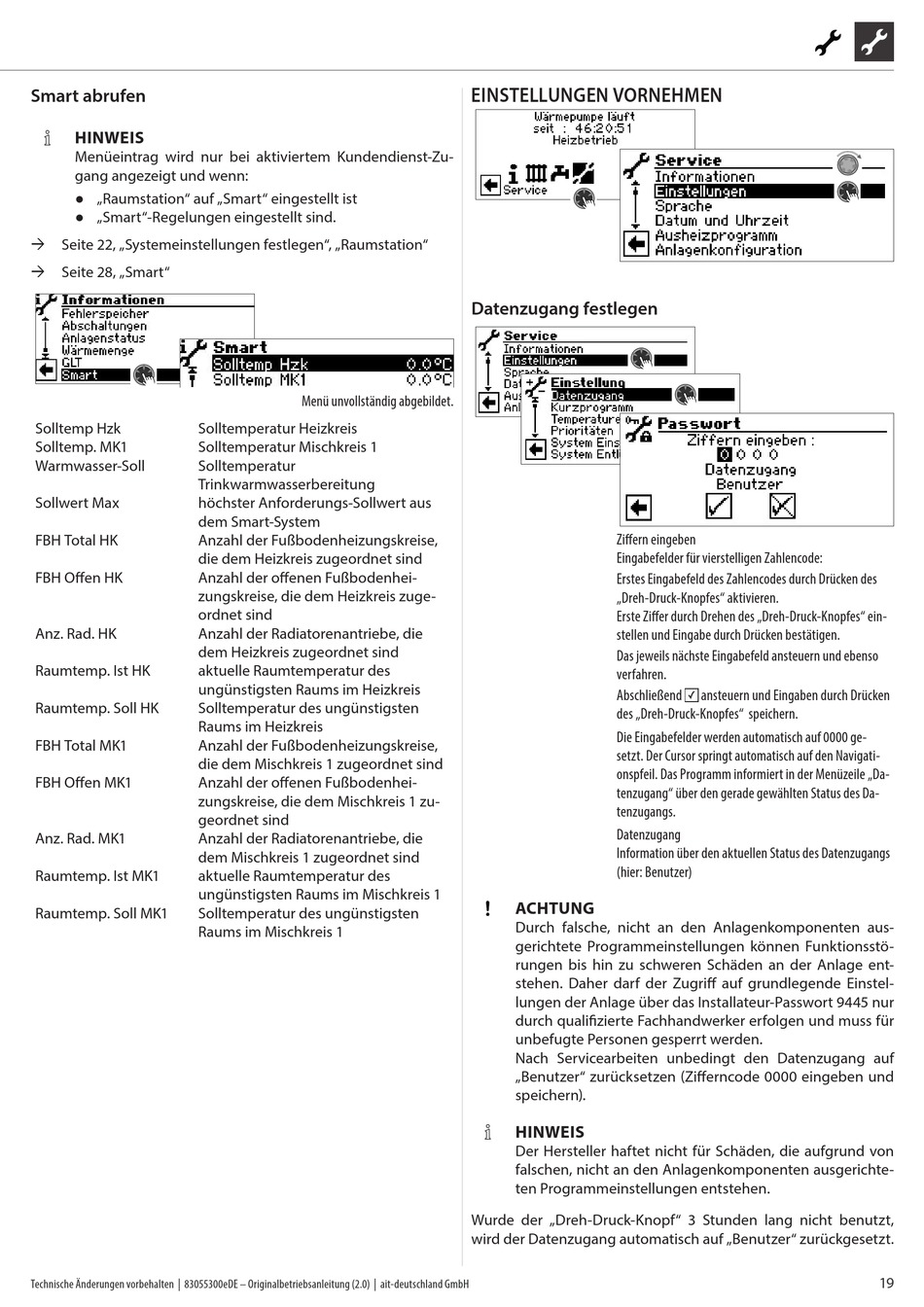
EINSTELLUNGEN VORNEHMEN

Datenzugang festlegen

Menü unvollständig abgebildet.
Wurde der „Dreh-Druck-Knopf" 3 Stunden lang nicht benutzt,
wird der Datenzugang automatisch auf „Benutzer" zurückgesetzt.
Ziffern eingeben
Eingabefelder für vierstelligen Zahlencode:
Erstes Eingabefeld des Zahlencodes durch Drücken des
„Dreh-Druck-Knopfes" aktivieren.
Erste Ziffer durch Drehen des „Dreh-Druck-Knopfes" ein-
stellen und Eingabe durch Drücken bestätigen.
Das jeweils nächste Eingabefeld ansteuern und ebenso
verfahren.
Abschließend
des „Dreh-Druck-Knopfes" speichern.
Die Eingabefelder werden automatisch auf 0000 ge-
setzt. Der Cursor springt automatisch auf den Navigati-
onspfeil. Das Programm informiert in der Menüzeile „Da-
tenzugang" über den gerade gewählten Status des Da-
tenzugangs.
Datenzugang
Information über den aktuellen Status des Datenzugangs
(hier: Benutzer)
ACHTUNG
Durch falsche, nicht an den Anlagenkomponenten aus-
gerichtete Programmeinstellungen können Funktionsstö-
rungen bis hin zu schweren Schäden an der Anlage ent-
stehen. Daher darf der Zugriff auf grundlegende Einstel-
lungen der Anlage über das Installateur-Passwort 9445 nur
durch qualifizierte Fachhandwerker erfolgen und muss für
unbefugte Personen gesperrt werden.
Nach Servicearbeiten unbedingt den Datenzugang auf
„Benutzer" zurücksetzen (Zifferncode 0000 eingeben und
speichern).
HINWEIS
Der Hersteller haftet nicht für Schäden, die aufgrund von
falschen, nicht an den Anlagenkomponenten ausgerichte-
ten Programmeinstellungen entstehen.
ansteuern und Eingaben durch Drücken
19

Quicklinks ausblenden:

Inhaltsverzeichnis
loading

Inhaltsverzeichnis