Herunterladen Inhalt Inhalt Diese Seite drucken

Extech Instruments EX710 Bedienungsanleitung Seite 2

Vorschau ausblenden Andere Handbücher für EX710:
Inhaltsverzeichnis
Verfügbare Sprachen

Verfügbare Sprachen

Einführung
Wirgratuliere
n
Ihnen zumKauf d esExtech 7 10Oder 730Zangenampere
r
sorgfältige
Behandlung Wird Ihnen dieses Z angenampere-Meter
Dienste
leisten.
Sicherheit
Internationale Sicherheitssymbole
Dieses, direkt mit einem anderen Symbol OderTerminal angezeigte Symbol
bedeutet, dass der Benutzer detaillierte Angaben in der Bedienungsanleitung
nachschlagen muss.
Dieses, direkt neben einem Terminal angezeigte Symbol bedeutet. dass unter
normaler Benutzung gefährliche Spannungen vorhanden sein können.
Schutzklasse II (Doppelisolierung)
SICHERHEITSHINWEISE
Niemalsden maximal z ulässigenEingangsbereich irgendeiner Funktionüberschreiten.
NiemalsSpannungan dasMessgerätanlegen,wenndie Widerstandsmessung
ausgewählt ist.
DenFunktionsschalter auf OFF(AUS)stellen,wenndasMessgerätnichtbenutztwird.
BeilängererNichtbenutzung des Messgerätes von mehrals 60Tagen,die Batterie
herausnehmen.
WARNHINWEISE
DenFunktionswahlschalter vor dem Messbeginn auf die gewünschte Messfunktion
stellen.
BeimSpannungsmessen n ichtauf die Strom-/Widerstandsmessung umschalten.
NiemalsStromauf einemStromkreismessen,dessenSpannung600 V überschreitet.
Vordem Wechselnder Messbereiche zunächstdie Messleitungenl vomzu prüfenden
Stromkreis
abnehmen.
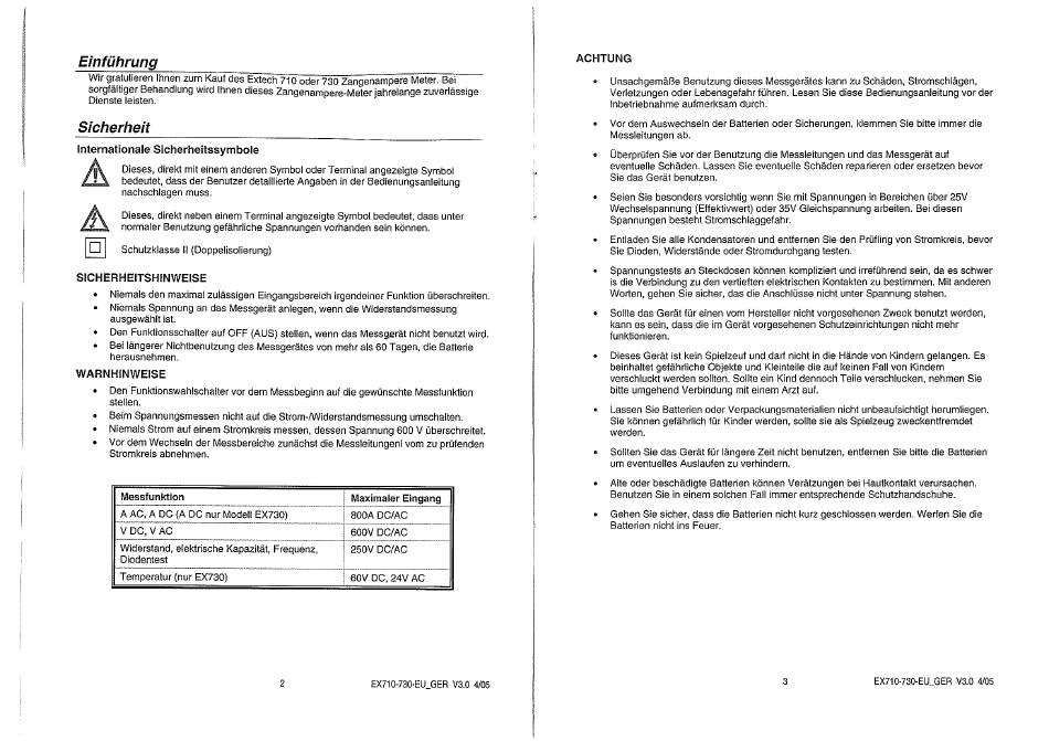
Messfunktion
A AC, A DC (A DC nur Modell EX730)
V DC, V AC
Widerstand, elektrische Kapazität, Frequenz,
Diodentest
Temperatur (nur EX730)
Meter. Bei
jahrelange zuverlässige
Maximaler Eingang
800A
DC/AC
600V
DC/AC
250V
DC/AC
60V DC, 24V AC
2
EX710-730.EU_GER V3.0 4/05
ACHTUNG
Unsachgemäße Benutzung dieses Messgerätes kann zu Schäden, Stromschlägen,
Verletzungen Oder Lebensgefahr führen. Lesen Sie diese Bedienungsanleitung vor der
Inbetriebnahme
aufmerksam
durch.
Vor dem Auswechseln der Batterien Oder Sicherungen, klemmen Sie bitte immer die
Messleitungen ab.
Überprüfen Sie vorder Benutzungdie Messleitungen unddas Messgerät a uf
eventuelle Schäden. Lassen Sie eventuelle Schäden reparieren Oder ersetzen bevor
Sie das Gerät benutzen.
Seien Sie besonders vorsichtig wenn Sie mit Spannungen in Bereichen über 25V
Wechselspannung (Effektivwert) Oder35V Gleichspannung arbeiten. Bei diesen
Spannungen besteht Stromschlaggefahr.
Entladen Sie alle Kondensatoren und entfernen Sie den Prüfling von Stromkreis, bevor
Sie Dioden, Widerstände Oder Stromdurchgang testen.
Spannungstests an Steckdosen können kompliziert und irreführend sein, da es schwer
is die Verbindung zu den vertieften elektrischen Kontakten zu bestimmen. Mit anderen
Worten, gehen Sie sicher, das die Anschlüsse nicht unter Spannung stehen.
Sollte das Gerät für einen vom Hersteller nicht vorgesehenen Zweck benutzt werden,
kann es sein, dass die im Gerät vorgesehenen Schutzeinrichtungen
funktionieren.
Dieses Gerät ist kein Spielzeuf und darf nicht in die Hände von Kindern gelangen. Es
beinhaltet gefährliche Objekte und Kleinteile die auf keinen Fall von Kindem
verschluckt
werden sollten.
Sollte ein Kind dennoch
bitte umgehend Verbindung mit einem Arzt auf.
Lassen Sie Batterien Oder Verpackungsmaterialien
Sie können gefährlich für Kinder werden, sollte Sie als Spielzeug zweckentfremdet
werden.
Sollten Sie das Gerät für längere Zeit nicht benutzen, entfernen Sie bitte die Batterien
um eventuelles
Auslaufen
zu verhindern.
Alte Oder beschädigte Batterien können Verätzungen bei Hautkontakt verursachen.
Benutzen Sie in einem solchen Fall immer entsprechende Schutzhandschuhe.
Gehen Sie sicher, dass die Batterien nicht kurz geschlossen werden. Werfen Sie die
Batterien
nicht
ins Feuer.
nicht mehr
Teile verschlucken,
nehmen
Sie
nicht unbeaufsichtigt herumliegen.
EX710-730-EU_GER vao 4/05
3
Inhaltsverzeichnis
loading

Diese Anleitung auch für:

Ex730

Inhaltsverzeichnis