Herunterladen Inhalt Inhalt Diese Seite drucken

ProMinent DULCODOS Pool Montage- Und Betriebsanleitung Seite 28

Dspa prc ph / redox
Vorschau ausblenden Andere Handbücher für DULCODOS Pool:
Inhaltsverzeichnis
In Betrieb nehmen
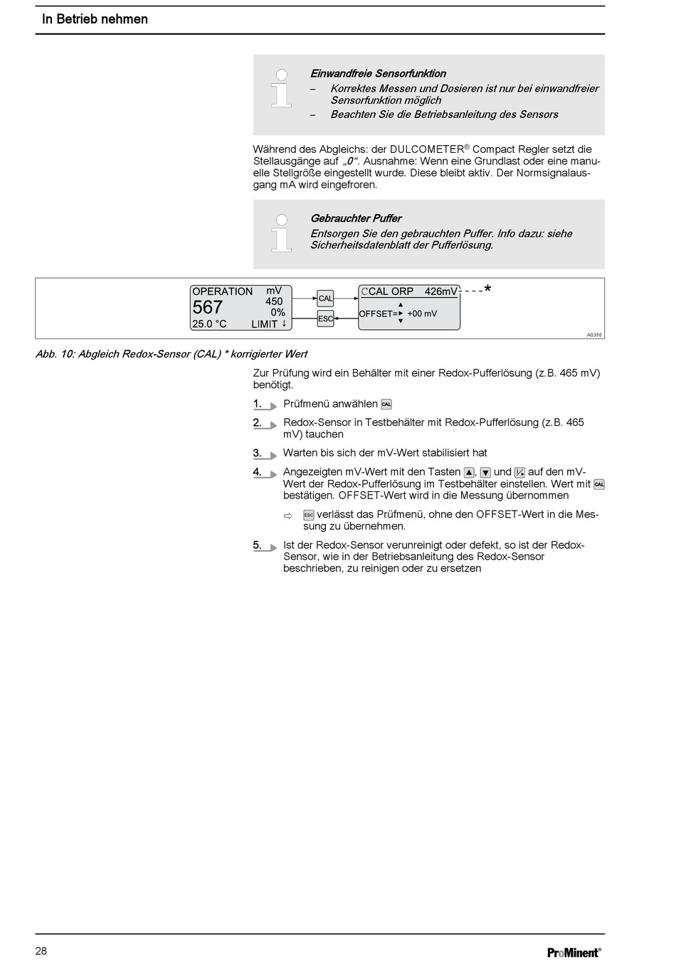
Abb. 10: Abgleich Redox-Sensor (CAL) * korrigierter Wert
28
Einwandfreie Sensorfunktion
Korrektes Messen und Dosieren ist nur bei einwandfreier
Sensorfunktion möglich
Beachten Sie die Betriebsanleitung des Sensors
Während des Abgleichs: der DULCOMETER
Stellausgänge auf
„0" . Ausnahme: Wenn eine Grundlast oder eine manu‐
elle Stellgröße eingestellt wurde. Diese bleibt aktiv. Der Normsignalaus‐
gang mA wird eingefroren.
Gebrauchter Puffer
Entsorgen Sie den gebrauchten Puffer. Info dazu: siehe
Sicherheitsdatenblatt der Pufferlösung.
Zur Prüfung wird ein Behälter mit einer Redox-Pufferlösung (z.B. 465 mV)
benötigt.
1.
Prüfmenü anwählen
2.
Redox-Sensor in Testbehälter mit Redox-Pufferlösung (z.B. 465
mV) tauchen
3.
Warten bis sich der mV-Wert stabilisiert hat
4.
Angezeigten mV-Wert mit den Tasten
Wert der Redox-Pufferlösung im Testbehälter einstellen. Wert mit
bestätigen. OFFSET-Wert wird in die Messung übernommen
verlässt das Prüfmenü, ohne den OFFSET-Wert in die Mes‐
ð
sung zu übernehmen.
5.
Ist der Redox-Sensor verunreinigt oder defekt, so ist der Redox-
Sensor, wie in der Betriebsanleitung des Redox-Sensor
beschrieben, zu reinigen oder zu ersetzen
®
Compact Regler setzt die
A0356
,
und
auf den mV-
Inhaltsverzeichnis
loading

Inhaltsverzeichnis