Herunterladen Diese Seite drucken

Mastervolt IVO Compact Betriebsanleitung Seite 8

Verfügbare Sprachen
  • DE

Verfügbare Sprachen

  • DEUTSCH, seite 6
Description de l'appareil
Les chargeurs de batteries IVO Compact 12/25-
3(230V), 24/10-2(230V) et 12/20-3(120V)
sont entièrement automatiques et conçus pour la
charge et le maintien de l'état de charge des
batteries au plomb, et comprennent une
fonctionnalité à compensation thermique. Ils
permettent également d'alimenter les utilisateurs
connectés à une batterie dans les installations
permanentes. Les modèles 12/25-3(230V) et
12/20-3(120V) sont fournis avec deux sorties CC
principales, le modèle 24/10-2 étant fourni avec
une seule sortie CC principale. La chute de
tension due au câblage CC est compensée
automatiquement.
Tous les modèles sont fournis avec un
connecteur auxiliaire supplémentaire permettant
de fournir une charge de maintenance à un
second petit groupe de batteries (la batterie de
démarrage, par exemple) avec la même tension
nominale. Le courant de charge maximum du
chargeur auxiliaire est de 3A, celui-ci étant réduit
à partir de la sortie principale du chargeur.
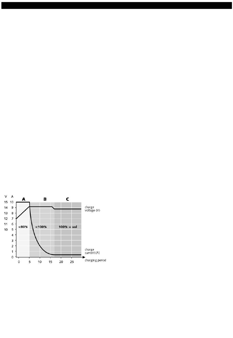
Chargeur de batterie
Le chargeur est équipé d'un voyant vert qui
indique l'état actuel de la charge à trois étapes
(voir Figure 1) :
Clignote rapidement = charge BULK (A), pour
charge rapide de 0 à 80%.
Clignote lentement = charge D'ABSORPTION
(B), la batterie est chargée de 80 à 100%.
Constamment éclairée = charge FLOAT (C), la
batterie est maintenue en charge totale.
Figure 1: Caractéristique de charge
Si le voyant est éteint alors que la prise du câble
CA est branchée sur le secteur, contacter votre
revendeur.
Fonctionnement
Le chargeur fonctionne automatiquement. Dans
des conditions normales d'utilisation, aucune
intervention n'est nécessaire.
FRANÇAIS
Tableau de télécommande
Le tableau optionnel "Charger Control" vous
permet de limiter le courant de sortie CC et de
lire à distance l'état de charge de la batterie. Le
voyant pannes de la commande à distance
permet le signalement de défaillances
éventuelles, telles que sous-tension ou
surtension, surchauffe ou court-circuit.
Fonctions étendues
Le connecteur RJ12 (port de communication
QRS232) peut être utilisé pour connecter la
sonde de température des batteries ou le tableau
de télécommande (non fourni). Utiliser un
répartiteur pour connecter les deux en même
temps (non fourni).
Ce port peut également être utilisé pour effectuer
des réglages au niveau logiciel en fonction de vos
besoins spécifiques (logiciel de contrôle et
interface non fournis). Pour connaître les
différentes applications, visiter le site Internet
www.mastervolt.com.
Directives d'installation
Utiliser des borniers fiables pour fixer les fils
à la sortie CC et bien fixer tous les
branchements.
Pour connaître le diamètre des câbles à
utiliser pour connecter les batteries au
chargeur, référez-vous aux spécifications.
Intégrer un fusible dans le câblage positif et
placer le à proximité de la batterie (se référer
aux spécifications pour le fusible
recommandé).
Afin de réduire au maximum toute interférence
CEM, nous vous conseillons de connecter le pôle
négatif de la batterie d'alimentation à la terre.
Réglages
Si le chargeur de batteries est utilisé en tant que
chargeur à trois étapes pour batteries à liquide, il
n'est pas nécessaire de modifier les réglages. Un
cavalier
fonctions spécifiques (voir Figure 2) est situé à
l'arrière du panneau avant, juste à côté du
connecteur RJ12 (non fourni) de la sonde de
température et du tableau de télécommande.
double
permettant
l'activation
de
loading