Herunterladen Diese Seite drucken

Mastervolt IVO Compact Betriebsanleitung Seite 2

Verfügbare Sprachen
  • DE

Verfügbare Sprachen

  • DEUTSCH, seite 6
Productbeschrijving
De IVO Compact 12/25-3(230V), 24/10-2(230V)
en 12/20-3(120V) zijn volautomatische
acculaders voor temperatuur gecompenseerd
laden, het op spanning houden van loodaccu's en
het voeden van de op de accu aangesloten
verbruikers, in vast opgestelde installaties. De
modellen 12/25-3(230V) en 12/20-3(120V) zijn
voorzien van twee hoofduitgangen, de 24/10-
2(230V) beschikt over een hoofduitgang. De
spanningsverliezen over de aansluitkabels worden
automatisch gecompenseerd. Alle modellen zijn
voorzien van een extra 'Slave'-uitgang die de
mogelijkheid biedt voor de onderhoudslading van
een kleine extra accuset (bijv. een startaccu) met
dezelfde nominale spanning. De maximale
laadstroom van deze 'Slave'-uitgang bedraagt 3
Ampère, welke ten laste gaat van de laadstroom
van de hoofduitgang.
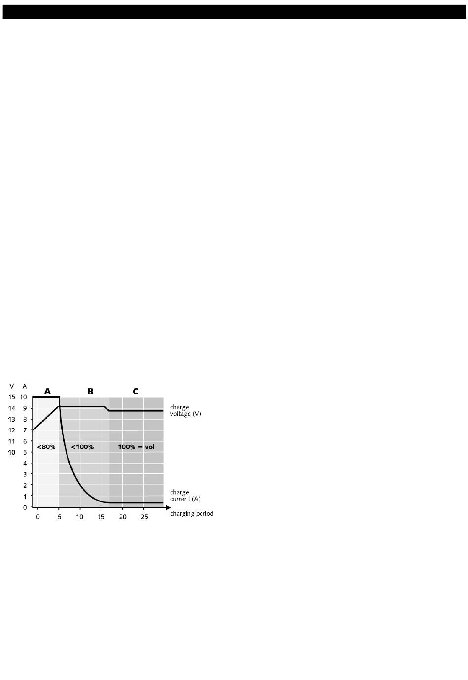
Acculader
De lader is uitgerust met een indicatie, die de
status van de drie-traps laadkarakteristiek
weergeeft (zie figuur 1):
snel knipperen = BULK laden (A) voor het snel
laden van de accu van 0 tot 80%.
langzaam knipperen = ABSORPTION (B)
waarin de accu van 80 tot 100% geladen
wordt.
continu branden = FLOAT (C) is de
onderhoudsfase waarbij de accu volledig
geladen blijft.
Figuur 1: Laadkarakteristiek.
Indien de indicatie uit is terwijl de stekker van het
AC netsnoer in het stopcontact zit, dient u contact
op te nemen met de leverancier.
Bediening
De lader werkt automatisch. Bediening is onder
normale omstandigheden dan ook niet nodig.
NEDERLANDS
Bedieningspaneel
Het optionele bedieningspaneel "Charger Control"
biedt u de mogelijkheid om op afstand de DC
uitgangsstroom te begrenzen (Output: 5%-25%-
50%-75%-100%) en de "State of charge"
(ladingstoestand) van de accu uit te lezen. Een
eventuele foutmelding, zoals onder- en
overspanning, oververhitting of kortsluiting is
alleen via dit bedieningspaneel weer te geven
d.m.v. de "Failure" indicator.
Uitgebreide functies
Op de RJ12 connector (QRS232 communicatie
aansluiting) kunt u de temperatuursensor of het
bedieningspaneel (niet meegeleverd) aansluiten.
Beide tegelijkertijd aansluiten kan via een
verdeler (niet meegeleverd).
Het is ook mogelijk om via deze aansluiting
softwarematig diverse instellingen aan te passen
aan uw specifieke wensen (besturingssoftware en
interface optioneel leverbaar). Zie de internetsite
www.mastervolt.com voor toepassingen.
Aanwijzingen voor installatie
• Gebruik deugdelijke adereindhulsen om de
bedrading op de uitgang van de lader aan te
sluiten en draai alle verbindingen stevig aan.
• Zie de specificatie voor de aanbevolen
draaddoorsnede.
• Neem in de plusleidingen een zekering op in de
bedrading en plaats deze zo dicht mogelijk bij
de accu. Zie specificaties voor aanbevolen
zekeringen.
Ter vermindering van EMC- interferentie
adviseren wij de negatieve pool van de
voedingsaccu te verbinden met de massa.
Instellingen
U hoeft de instellingen niet te wijzigen indien u de
acculader gebruikt als 3-traps lader voor natte
accu's. Achter het frontpaneel naast de RJ12
connector bevindt zich een tweevoudige DIP-
switch voor het activeren van specifieke functies
(zie figuur 2).
loading