Herunterladen Inhalt Inhalt Diese Seite drucken

Niedrigster Messbarer Taupunkt; Abbildung 2 2-Stufiger Niedrigster Messbarer Taupunkt - Pst Michell Instruments Optidew Bedienungsanleitung

Taupunkt-spiegel-hygrometer
Inhaltsverzeichnis
Bedienungsanleitung Optidew
1.3

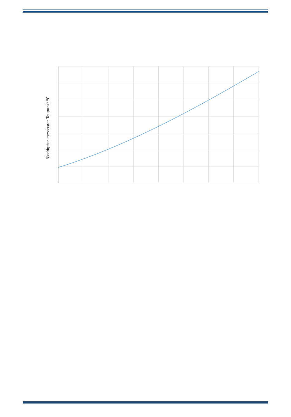
Niedrigster messbarer Taupunkt

Der minimale Taupunkt, der gemessen werden kann, wird durch die Sensortemperatur
bestimmt, und ob der Sensor auf dieser Temperatur gehalten werden kann. Die
folgende Tabelle geht von einer Anwendung in einer Klimakammer aus, in der die
Luftgeschwindigkeit ausreicht, überschüssige Wärme zu entfernen.
10
0
-10
-20
-30
-40
-50
-60
10
Michell Instruments
20
30
40
2-stufiger niedrigster messbarer Taupunkt
Abbildung 2
50
60
Sensortemperatur °C
Sensor Temperature °C
EINLEITUNG
70
80
90
3
Inhaltsverzeichnis
loading

Inhaltsverzeichnis