Herunterladen Inhalt Inhalt Diese Seite drucken

Omron RX-3 Gebrauchsanweisung Seite 49

Inhaltsverzeichnis
Verfügbare Sprachen
  • DE

Verfügbare Sprachen

  • DEUTSCH, seite 18
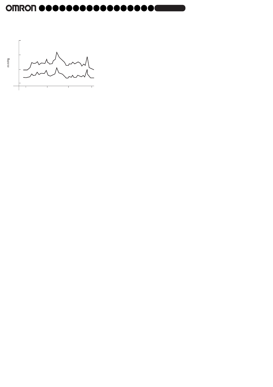
Upper curve: systolic blood pressure
200
Lower curve: diastolic blood pressure
150
100
50
6
12
Time of day
Voorbeeld: schommeling op een dag (man, 35 jaar)
48
All manuals and user guides at all-guides.com
Hoge bloeddruk behandelen
Als de bovenste waarde van uw bloeddruk ligt
tussen 140 - 160 mmHg en de onderste waarde
tussen 90 - 95 mmHg bij herhaalde metingen
gespreid over meerdere dagen, is het raadzaam uw
arts te raadplegen voor een uitgebreid medisch
onderzoek. U kunt de voorgeschreven behandeling
van uw arts aanvullen op de volgende manier:
• Afvallen en uw cholesterolniveau verlagen door min-
der calorieën en vet te verbruiken. Minder dierlijke
vetten verbruiken en meer fruit en groenten eten.
• Alcoholgebruik verminderen.
• Inname van zout verlagen: de Duitse liga voor de
bestrijding van hoge bloeddruk beveelt gemiddeld
18
24
zes gram zout per dag aan (dit is één theelepel).
• Stoppen met roken.
• Regelmatig bewegen.
• Uw bloeddruk in de gaten houden.
RX-3 Nederlands

Quicklinks ausblenden:

Inhaltsverzeichnis
loading

Diese Anleitung auch für:

Omron rx-3 rx-3

Inhaltsverzeichnis