Herunterladen Inhalt Inhalt Diese Seite drucken

Technische Daten - Dustcontrol Dc Tromb 400C Originalbetriebsanleitung

Vorschau ausblenden Andere Handbücher für DC Tromb 400c:
Inhaltsverzeichnis
Sicherheitsvorschriften
8. Kontrolle von Beschädigungen
Überprüfen Sie vor jeder Inbetriebnahme die
Ma-schine auf Beschädigungen. Gibt es Be-
schädigungen muss die Maschine von einer von
Dustcontrol autorisierten Kundendienstwerkstatt
repariert werden.
Wenn das Netzkabel beschädigt ist, muss es
vom Hersteller, dessen Kundendienst oder
einer ähnlich qualifizierten Person ersetzt
werden, um Gefährdungen zu vermeiden. Die
Netzanschlussleitung darf nur durch den ange-
gebenen Typ ersetzt werden.
9. Transport
Vor Transport der Maschine muss der Behäl-
ter entleert werden. Das Vorderrad hat eine
Bremsvorrichtung die bei Stillstehen immer
benutzt werden muss.

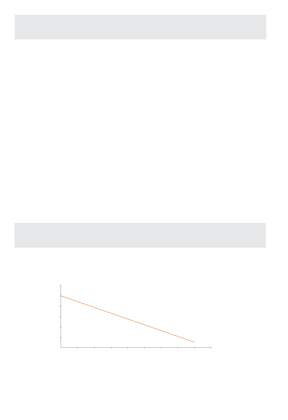
Technische Daten

kPa
30
25
20
15
10
5
0
2017-05-30
Druck, EU 230 V
150
50
100
DC Tromb 400a/c/L- 18
10. Warnung
Benützen Sie nur Zubehör und Austauschteile
die im Dustcontrol Katalog erhältlich sind. Beim
Ein-satz von fehlerhaften Teilen oder Piratteilen
(vor allem Filter und Plastiksäcke) kann aus der
Maschine gesundheits gefähr licher Staub aus-
treten, der Gesundheitsschäden verursachen
kann.
Diese Maschine darf nicht von Kindern betrieben
werden. Personen mit reduzierten physischen,
sensorischen oder mentalen Fähigkeiten dürfen
die Maschine nur betreiben, wenn Sie eine Ein-
weisung und Beaufsichtigung durch eine Person
erhalten, die für deren Sicherheit zuständig ist.
Die Maschine ist für den gewerblichen Gebrauch
geeignet, wie z.B. in Hotels, Schulen, Kran-
kenhäusern, Fabriken, Läden, Büros, Bau und
Vermietungsgeschäften.
200
250
300
350
m
3
/h
400
450
Part No 9480-E
Inhaltsverzeichnis
loading

Diese Anleitung auch für:

Dc tromb 400aDc tromb 400l

Inhaltsverzeichnis