Herunterladen Inhalt Inhalt Diese Seite drucken

Πλήκτρα Ελέγχου - Nec Multisync Lcd2180Ux Bedienerhandbuch

Vorschau ausblenden Andere Handbücher für MultiSync LCD2180UX:
Inhaltsverzeichnis
Verfügbare Sprachen
  • DE

Verfügbare Sprachen

  • DEUTSCH, seite 29
Πλήκτρα Ελέγχου
Τα πλήκτρα ελέγχου ΟSM (On-Screen Manager - ∆ιαχειριστής Οθ νης) στο
µπροστιν µέρος της οθ νης, λειτουργούν µε τον παρακάτω τρ πο:
ΣΗΜΕΙΩΣΗ:
Μενού
EXIT
CONTROL
/
ADJUST - / +
SELECT
RESET
ΣΗΜΕΙΩΣΗ:
Πλήκτρα ελέγχου Φωτειν τητας/Αντίθεσης
BRIGHTNESS (ΦΩΤΕΙΝΟΤΗΤΑ)
CONTRAST (ΑΝΤΙΘΕΣΗ)
AUTO CONTRAST (ΑΥΤΟΜΑΤΗ ΑΝΤΙΘΕΣΗ (Αναλογική είσοδος µ νο))
AUTO BRIGHTNESS (ΑΥΤΟΜΑΤΗ ΦΩΤΕΙΝΟΤΗΤΑ)
Αυτ µατη Ρύθµιση (Μ νο αναλογική είσοδος)
Πλήκτρα ελέγχου Εικ νας
LEFT / RIGHT (ΑΡΙΣΤΕΡΑ / ∆ΕΞΙΑ)
DOWN / UP (ΚΑΤΩ / ΠΑΝΩ)
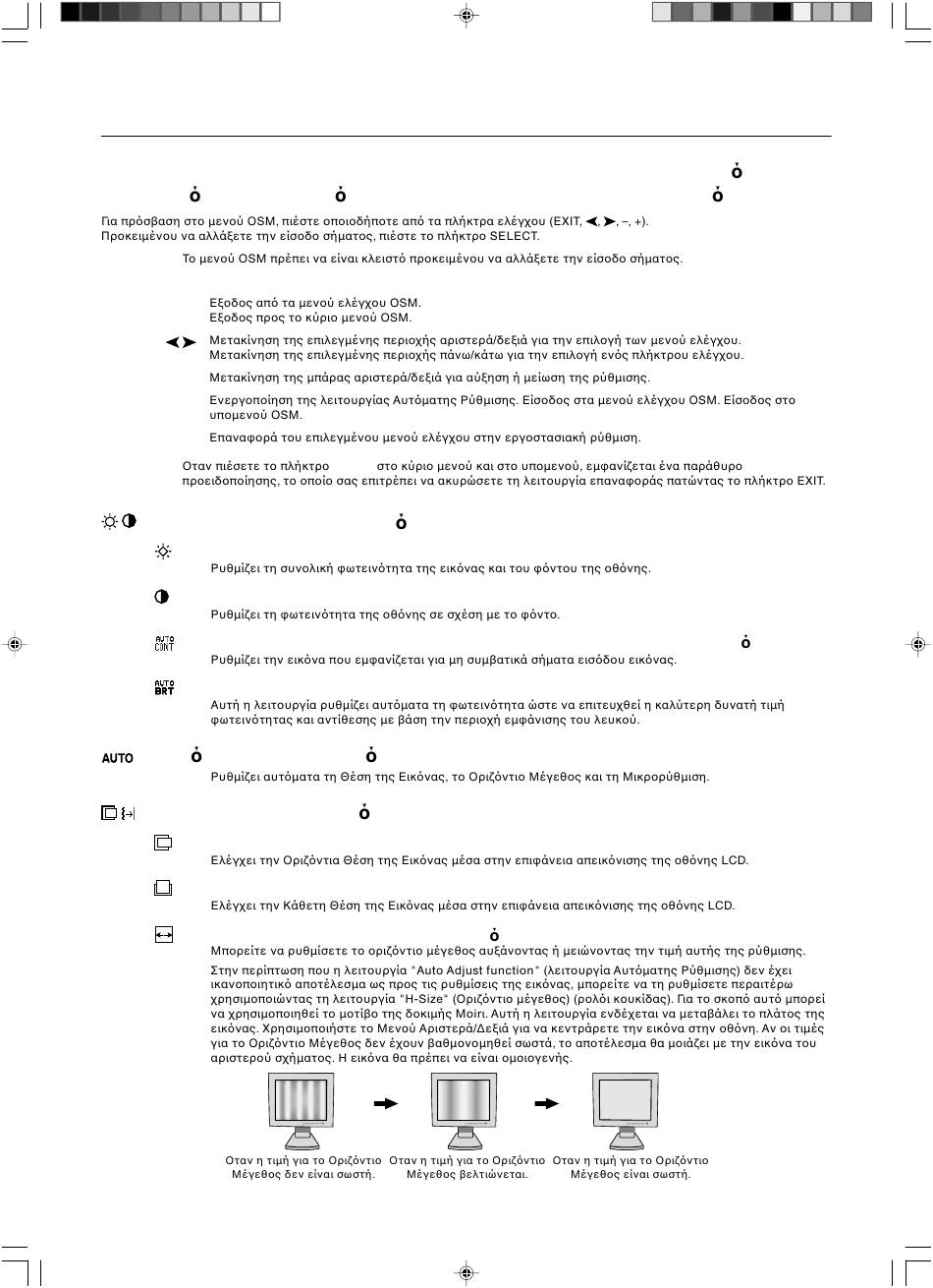
H.SIZE (ΟΡΙΖΟΝΤΙΟ ΜΕΓΕΘΟΣ (Μ νο αναλογική είσοδος))
04_Greek
RESET
6
Ελληνικά-6
15/06/2005, 16:37
Inhaltsverzeichnis
loading

Inhaltsverzeichnis