Herunterladen Inhalt Inhalt Diese Seite drucken

Multiplex MULTImate 82094 Anleitung Seite 110

Inhaltsverzeichnis
Verfügbare Sprachen
  • DE

Verfügbare Sprachen

  • DEUTSCH, seite 1
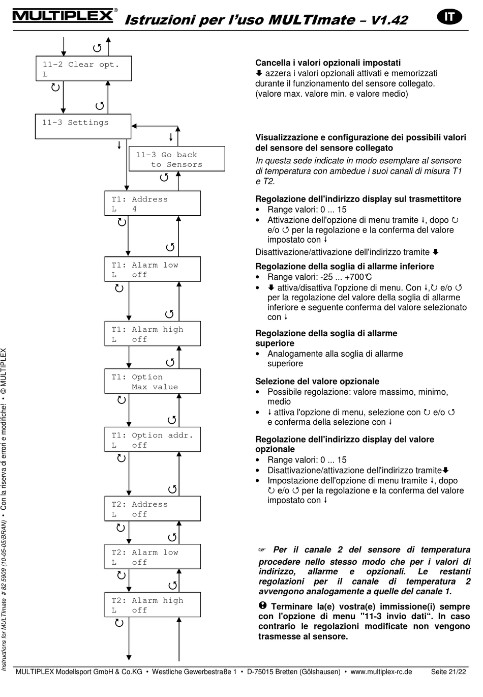
11-2 Clear opt.
L
11-3 Settings
MULTIPLEX Modellsport GmbH & Co.KG • Westliche Gewerbestraße 1 • D-75015 Bretten (Gölshausen) • www.multiplex-rc.de
Istruzioni per l'uso MULTImate
11-3 Go back
to Sensors
T1: Address
L
4
T1: Alarm low
L
off
T1: Alarm high
L
off
T1: Option
Max value
T1: Option addr.
L
off
T2: Address
L
off
T2: Alarm low
L
off
T2: Alarm high
L
off
Cancella i valori opzionali impostati
azzera i valori opzionali attivati e memorizzati
durante il funzionamento del sensore collegato.
(valore max. valore min. e valore medio)
Visualizzazione e configurazione dei possibili valori
del sensore del sensore collegato
In questa sede indicate in modo esemplare al sensore
di temperatura con ambedue i suoi canali di misura T1
e T2.
Regolazione dell'indirizzo display sul trasmettitore
• Range valori: 0 ... 15
• Attivazione dell'opzione di menu tramite , dopo
e/o
per la regolazione e la conferma del valore
impostato con
Disattivazione/attivazione dell'indirizzo tramite
Regolazione della soglia di allarme inferiore
• Range valori: -25 ... +700°C
attiva/disattiva l'opzione di menu. Con ,
per la regolazione del valore della soglia di allarme
inferiore e seguente conferma del valore selezionato
con
Regolazione della soglia di allarme
superiore
• Analogamente alla soglia di allarme
superiore
Selezione del valore opzionale
• Possibile regolazione: valore massimo, minimo,
medio
attiva l'opzione di menu, selezione con
e conferma della selezione con
Regolazione dell'indirizzo display del valore
opzionale
• Range valori: 0 ... 15
• Disattivazione/attivazione dell'indirizzo tramite
• Impostazione dell'opzione di menu tramite , dopo
e/o
per la regolazione e la conferma del valore
impostato con
☞ Per il canale 2 del sensore di temperatura
procedere nello stesso modo che per i valori di
indirizzo,
allarme
regolazioni
per
il
avvengono analogamente a quelle del canale 1.
!
!
!
!
Terminare la(e) vostra(e) immissione(i) sempre
con l'opzione di menu "11-3 invio dati". In caso
contrario le regolazioni modificate non vengono
trasmesse al sensore.
– V1.42
e/o
e
opzionali.
Le
restanti
canale
di
temperatura
Seite 21/22
e/o
2
Inhaltsverzeichnis
loading

Inhaltsverzeichnis