Herunterladen Inhalt Inhalt Diese Seite drucken

Programmierung; Betriebsmodus (Menüübersicht); Uhr/Dat (Uhrzeit Und Datum Einstellen); Programm - Selve I-R Timer Plus Bedienungsanleitung

Vorschau ausblenden Andere Handbücher für i-R Timer Plus:
Inhaltsverzeichnis

Programmierung

Programmierung
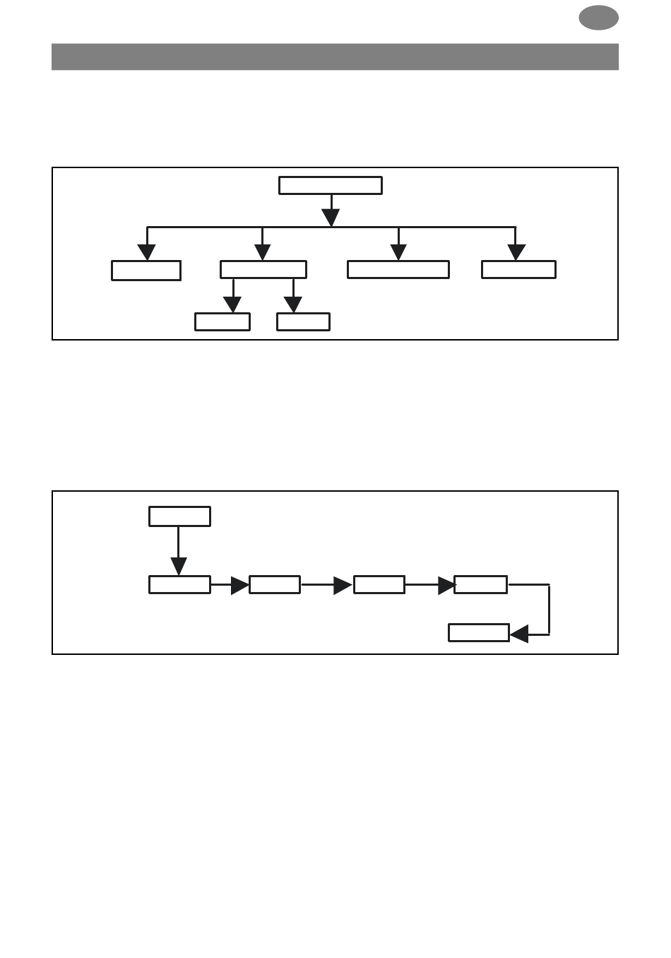
Betriebsmodus (Menüübersicht)
UHR/DAT
1. Drücken Sie die MENUE-Taste UHR/DAT erscheint.
2. Um weitere Menüs auszuwählen, drücken Sie die +/– Tasten.
3. Drücken Sie die MENUE-Taste, um in den Betriebsmodus zu
gelangen.

UHR/DAT (Uhrzeit und Datum einstellen)

UHR/DAT
OK
UHRZEIT
+/-
1. Drücken Sie die MENUE-Taste UHR/DAT erscheint.
2. Mit OK kommen Sie in den Menüpunkt Uhrzeit.
3. Stellen Sie jetzt mit der +/– Tasten die aktuelle Uhrzeit ein.
4. Ist die Uhrzeit eingestellt, bestätigen Sie mit OK.
5. Verfahren Sie mit der Einstellung JAHR, MONAT und TAG wie
oben beschrieben.
6. Drücken Sie die MENUE-Taste, um in den Betriebsmodus zu
gelangen.
Betriebsmodus
+/-

PROGRAMM

+/-
PROG1
+/-
PROG2
(
OK
OK
JAHR
+/-
M
EINSTELLUNG
OK
MONAT
+/-
UHR/DAT
19
+/-
FUNKTION
)
OK
TAG
+/-
D
Inhaltsverzeichnis
loading

Inhaltsverzeichnis