Herunterladen Inhalt Inhalt Diese Seite drucken
Inhaltsverzeichnis
Verfügbare Sprachen
  • DE

Verfügbare Sprachen

  • DEUTSCH, seite 8
DESCRIPCION
Gracias por su elección ! Para sacar el mayor provecho de su máquina, lea atentamente lo siguiente :
Los Plasma 25K, 35KF y 31FV son máquinas de corte plasma Inverter, portatiles, monofásicas, ventiladas. Permiten
cortar en corriente continua (DC) los aceros, inox, aluminio, cobre. Funcionan con una red eléctrica monofásica 230V
para los Plasma 25K y 35KF, monofásica incluida entre 85V y 265V para el Plasma 31FV. Son protegidos para funcionar
con grupos electrógenos.
ALIMENTACION – PUESTA EN MARCHA
• Estos aparatos se venden con un enchufe 16A tipo EEC7/7. La máquina debe conectarse a la red eléctrica 230 V (50-
60 Hz) con conexión tierra para los 35K y 35KF. El Plasma 35FV dispone de una alimentación 'Flexible Voltage', debe
conectarse a una re electrica incluida entre 85 y 265V (50-60 Hz) con conexión tierra. La corriente efectivamente
absorbida (l1eff) está indicada sobre la máquina para las condiciones de uso máximas. Comprobar que la
alimentación y su protección (fusible o disyuntor) son compatibles con la corriente que requiere la utilización. Son
protegidos para funcionar con grupos electrógenos.
• Plasma 25K y 35KF, se pone en marcha apretando el interruptor ON/OFF. Para el Plasma cutter 31FV, la puesta en
marcha se hace por rotación del potenciómetro en la corriente deseada (el modo espera se hace con la posición "O"
del potenciómetro).
• Colocar en el filtro regulador la boquilla de unión neumática adecuada a su instalación (plasma 31FV)
• El aparato se pone en protección si la tensión de alimentación es superiora a 265V. Para indicar este defecto, el
indicador luminoso amarillo de protección térmica parpadea 2 veces y luego se apaga. El funcionamiento normal
reanuda de nuevo unos 30 segundos después de que la tensión regrese a su campo nominal.
• Este aparato es de Clase A. Fue concebido para un uso en un ambiente industrial o profesional. En un entorno
distinto, puede ser difícil asegurar la compatibilidad electromagnética, a causa de perturbaciones conducidas tan bien
como radiadas. No utilizar en un entorno con polvos metálicos conductores. Este equipo no respeta la CEI 61000-3-
12. Si se dedica a conectarse al sistema público de alimentación de baja tensión, es de la responsabilidad del usuario
de asegurarse que pueden conectarse a éste. Si es necesario, consultar al operador de su red de alimentación
eléctrica.
• No utilizar en un lugar donde hay polvo metálico que conduce la electricidad.
OPERACIÓN DE CORTE
Enchufar el aparato a la red eléctrica y a la red de aire comprimido exterior (PLASMA Cutter 31FV únicamente)
Regular la presión (PLASMA Cutter 31FV únicamente) hasta que aparezcan en el manómetro 2,5 hasta 6 bares para
el plasma 31.
Plasma 25K y 35KF: más allá de 1500m de altura, la presión atmosférica es insuficiente para permitir el
Para el plasma 31FV : a partir de 10 A* y con el fin de optimizar el rendimiento de corte, utilizar el
« testador de caudal de aire » con la máquina. Para esto :
- Apretar el gatillo de la antorcha (el arco se crea)
- Relajarlo, el arco se corta pero el aire sigue escurriendo durante 15 segundos aproximadamente.
- Durante este periodo, colocar el « testador de caudal de aire » con la extremidad de la antorcha y
luego ajustar el caudal de aire (115l/mn para el 31) hasta que la bolita se situe en la zona
mini/maxi.
*nb : Para un corte a -10A, posicionarse directamente a 3 bares.
Poner en marcha el aparato.
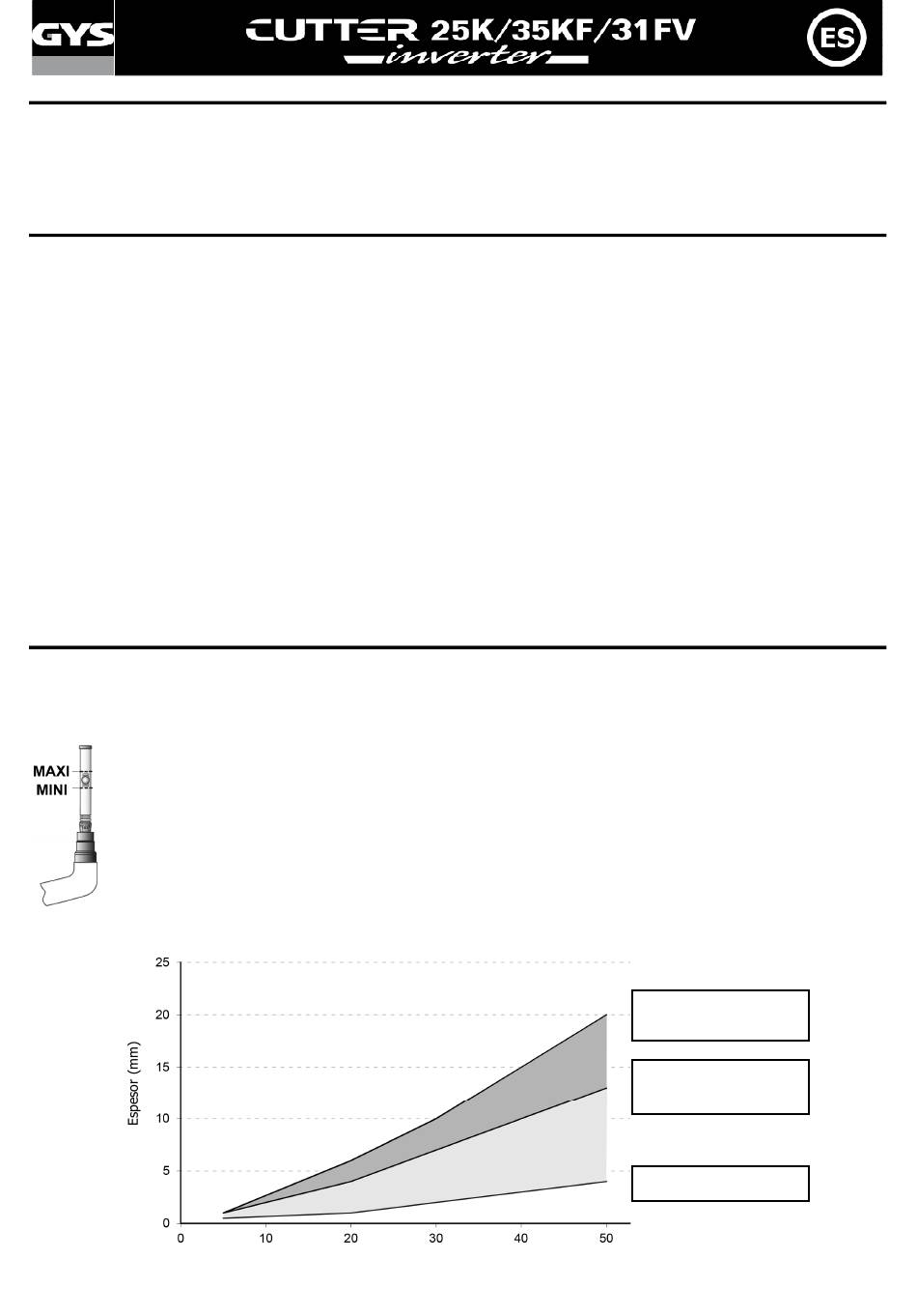
Regular la corriente en función del tipo y del espesor del metal a cortar.
funcionamiento del compresor integrado.
Intensidad (A)
Espesor máximo
de separación
Zona
Espesor máximo de
inestable
corte
Zona recomendada
Espesor máximo
11
Inhaltsverzeichnis
loading

Diese Anleitung auch für:

Cutter 35kf inverterCutter 31fv inverter

Inhaltsverzeichnis